
1、經濟性分析
1.1 年發電量的計算
分布式光伏發電的年發電量的計算公式如下:
![]()
其中:
Q:年發電量,kW·h;
Hc:太陽能年輻射量,kW·IVmz;
H:標準太陽福射強度,kW/m;
P:裝機容量,kW;
C:光伏組的傾斜系數,取值范圍介于1.05~1.15;
η:影響系數,取值范圍介于72%一75%。
為了加快光伏發電技術的發展與應用,我國相關職能部門對該發電方法實行了發電補貼政策,也就是對發電系統自用剩余上網電量進行收購,收購價格參照本地燃煤機組的標桿上網電價。
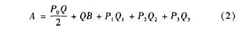
1.2 用戶的年售電收入計算
影響用戶年售電收入A的主要因素有:本地標桿上網電價,(kW·h);國家給予的補貼額度Po,元/(kW·h);國家制定的三檔階梯電價,P1、P2、P3;還有在階梯電價范圍內的自用電量Q1、Q2、Q3。其計算公式如下:
![]()
在計算本地年售電收入的時將本地的相關數據代入公式即可。
1.3 用戶每年的凈收益計算
在計算出用戶每年的售電收入后,去掉因發電系統維護所造成的相關費用后,即得出用戶每年的售電凈收入。
1.4 投資回收期的計算
理論上的投資回收期可以這樣計算:回收期=投資金額÷每年的凈收益金額。當然這里面的數值會根據當年的實際情況有相應的變化,得到的數值也會有所不同。
1.5 經濟性分析結論
光伏發電裝置分為商用和民用兩類,但是其收益的計算方法是一樣的。通過上面的分析我們了解到,對用戶經濟性的影響主要是各地標桿上網電價、年利用時間、各地的補貼政策、各地不同的階梯電價等。對于發電系統投資成本的收回期,一般在5一l1年,投資價值非常高,尤其是在太陽能資源豐富的區域,采用該發電裝置將會為用戶帶來巨大收益,而且也會大大縮短投資成本收回的期限。
2、發展中存在的問題與相關政策分析
2.1 優化審批環節
在我國相關的光伏發電管理文件中規定,分布式光伏發電采用備案制,是應由省級政府部門來制定的,但是實際情況是多數地區的備案方法并沒有落實,在政策上存在延誤。另外。國家能源局對各省的發電項目建設規模提出了相關要求,要結合本地區的實際情況,但是很多省市對于如何確定本地區的建設規模指標尚未明確。這兩個方面都是在審批環節中存在的弊端,因此必須進行優化,加快項目審批速度,加快政策的制定與落實,從而保證光伏發電事業得到較快發展。
2.2 優化售電結算問題
用戶在使用了光伏發電裝置以后,自用剩余上網電量是由電力公司收購的,不過要求用戶必須要開具增值稅發票,可是民用的發電項目又無法在工商部門登記,何談增值稅發票?所以只能開具普通發票或是收據,長此以往將會嚴重阻礙分布式光伏發電事業的良性發展。雖然商用發電項目企業可以開具增值稅發票,但是所承擔的成本也就大大提高,我國的相關政策是將增值稅減半收取,這也算是對該行業的大力扶持,但是有效期只有短短的兩年時間。因此說國家的鼓勵扶持政策只是浮于表面,對此國家能源總局應該和相關部門做好協調工作,明確扶持政策,優化電量收購環節,從而保證光伏發電事業得到較快發展。
2.3 落實政府補貼
通過上述分析我們知道,政府補貼是影響光伏發電經濟性的重要因素之一,從實際情況來看也是如此,在補貼政策得到落實的地區效果較好,相反在補貼政策滯后的一些地區,用戶的投資成本回收相對較慢,加大了投資風險。所以,政府相關部門要加快補貼政策的制定與落實。在實際操作過程中,國家會結合當地光伏發電建設情況、成本變化等因素對補貼政策進行適時、適當的調整,但是這也同時對用戶投資產生了影響。對于這項政府補貼主要來自于國家的可再生能源發展基金,但是基金規模卻無法滿足當前行業發展的需求,之間存在較大的矛盾,因此拓展融資渠道也是當前政府相關職能部門亟待解決的難題。
現階段,我國能源總局對光伏發電行業開始實施年度規?;墓芾?,根據不同地區的實際情況采取配額的方式,補貼額度全國實施統一標準,為0.42元/(kW·h)。因此,要加快分布式光伏發電產生的發展,使得條件優越、對電能需求較大的地區走在行業的前列。
2.4 屋頂的合理利用
對于民用發電裝置來說,在農村可以較大范圍的使用,因農村基本都是獨立房屋,屋頂的面積完全可以滿足光伏發電裝置的安裝,而城市住房相對集中,基本都是高層或是多層建筑,屋頂面積非常緊張,一般只有頂樓的居民可能充分利用起屋頂的面積,并且還有可能引起其他住戶的不滿?;诖耍毮懿块T協調并引導制定并完善關于高層建筑屋頂產權與使用權的相關規定,而且對于在建或是待建的房屋建筑,應該把安裝發電裝置的需求綜合考慮進去。
對于商用發電裝置,可以安裝在工廠屋頂,屋頂可能是彩鋼結構,也可能是混凝土結構。彩鋼結構的使用年限大多為15年,但是發電裝置的使用年限基本都在2O~25年,這對于光伏發電的發展也存在著一定的影響。因此在進行安裝位置選擇的時候也要綜合考慮這些因素,盡量安裝在混凝土屋頂上為宜。
2.5 商業化的發展
目前,分布式光伏發電大都是由企業或是居民根據自己的需求與條件自己建設,然后余量上網,從一定程度上阻礙了光伏發電事業的迅速推廣,應該建立一種商業化的發展模式,比如由光伏發電企業牽頭,完善合同能源管理、政府進行統一建設、屋頂租賃等相關環節的管理措施。實現商業化的動作模式。并且還要做好電量收購、結算等相關工作,做好各個環節的協調工作,減少糾紛的產生。
2.6 完善相關技術性規范
傳統的發電方式基本上都是采用集中統一的規劃建設,而分布式的光伏發電的優勢在于“分散獨立,靈活自治”。雖然光伏發電具有諸多的優勢,但是要想完全無條件的接入到現有的電力網絡,將會引起大面積電網升級改造,其成本非常巨大,這樣反而不利于光伏發電技術的推廣,因此需要兩方協調發展,共同進步。技術性規范是影響光伏發電與傳統電力網絡協調發展的重要因素,在發展初期,技術性規范的主要特征體現在減少光伏發電對傳統電力網絡產生的影響,對技術規范的研究也重點放在了如何改善光伏發電裝置的性能方面,以便滿足電力網絡穩定、可靠運行的要求,對所接人電力網絡的光伏發電提出嚴格的要求,比如在電能質量、電網的適應性、故障維修等方面,從而降低光伏系統所產生的各種不安定因素。
隨著光伏發電系統的快速發展,這種技術性的規范所存在的諸多不利也慢慢顯露出來。利用先進的接人技術對傳統的電力網絡不斷改進,技術上不斷更新,從根本上減少因光伏發電對電力網絡造成的各種不安全因素,滿足光伏發電系統接入電力網絡的各種要求,從而推動光伏發電技術的迅速推廣與應用。在這一發展過程中,主動配電網絡成為了電力網絡的智能節點,并且利用電力網絡系統實現了集中調度的目的,在提高電力網絡的穩定性、可靠性等方面效果顯著。
在主動電力網絡發展到高級階段后,技術性規范所體現的主要是電力網絡的內部負荷、光伏發電裝置、儲能裝置以及電能管理之間的協調控制。此時技術規范的重要任務就是引導傳統的電力網絡向著智能化的配電網絡發展。
3、結論
分布式光伏發電系統能夠有效地將太陽能資源轉化為電力能源,目前在我們國家得到了較大范圍的推廣與應用,而且經濟效益顯著。通過本文的分析,我們了解了影響投資經濟性的幾個關鍵因素,投資成本一般在5—11年就可以收回,而其使用壽命能夠達到2O~25年,具有較高的投資價值。在投資過程中,商用光伏發電系統效果更為顯著,投資價值更高。有效利用太陽能資源也是全球性的重要課題,對于實現經濟的可持續發展意義重大。但是通過分析我們也知道,在光伏發電推廣過程中存在著一些不利因素,政府相關部門要加大扶持力度,制定完善的扶持政策,提高人們投資的積極性。還要加快商業化模式建設,在項目審批、收購結算等環節進行優化管理,充分發揮技術性規范的引導作用,加強相關技術的研究,解決實際中存在的一些問題。

